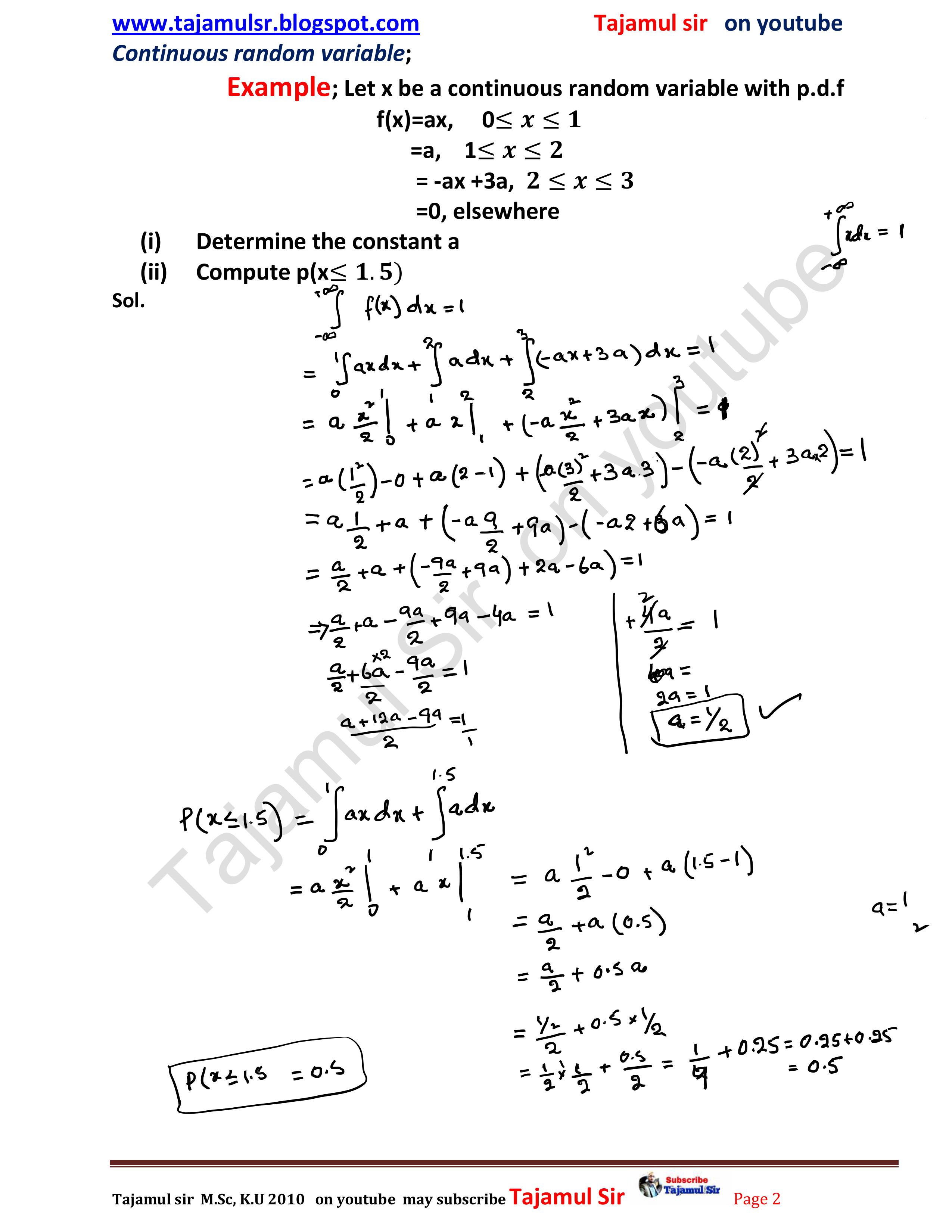
Home tajamul sir random variable jee | continuous random variable | discrete random variable random variable jee | continuous random variable | discrete random variable Tajamul sir 10:04 PM 0 Here are few examples solved in random variable.For more videos visit youtube; random variable. Tags tajamul sir Facebook Twitter Whatsapp Newerrandom variable jee | continuous random variable | discrete random variable Older